Упр.269 ГДЗ Мерзляк 8 класс (Алгебра)
Решение #1
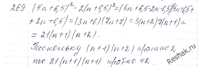
Решение #2
Решение #3

Рассмотрим вариант решения задания из учебника Мерзляк, Полонская, Якир 8 класс, Вентана-Граф:
269. Можно ли утверждать, что при любом натуральном n значение выражения (5n+6,5)2 - (2n+0,5)2 кратно 42?
Похожие решебники
Популярные решебники 8 класс Все решебники
*К сожалению, временные проблемы с публикацией комментариев с мобильных устройств.