Упр.259 ГДЗ Мерзляк 9 класс (Алгебра)
Решение #1 (Учебник 2024)
Решение #2 (Учебник 2021)
Решение #3 (Учебник 2021)

Рассмотрим вариант решения задания из учебника Мерзляк, Полонская, Якир 9 класс, Просвещение:
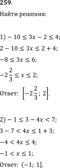
Решите неравенство:
1) -10?3x-2?4; 2) -1?3-4x<7.
Возрастающей или убывающей является функция:
1) у = 9х - 4;
2) у = -4х + 10;
3) у = 12 - Зx;
4) у = -х;
5) у = 1/6 х;
6) у = 1 - 0,3х?
Похожие решебники
Популярные решебники 9 класс Все решебники
*размещая тексты в комментариях ниже, вы автоматически соглашаетесь с пользовательским соглашением