Упр.262 ГДЗ Мерзляк 9 класс (Алгебра)
Решение #1 (Учебник 2024)
Решение #2 (Учебник 2021)
Решение #3 (Учебник 2021)

Рассмотрим вариант решения задания из учебника Мерзляк, Полонская, Якир 9 класс, Просвещение:
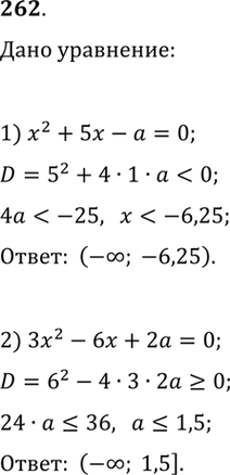
При каких значениях a уравнение:
1) x^2+5x-a=0 не имеет корней;
2) 3x^2-6x+2a=0 имеет хотя бы один действительный корень?
Найдите промежутки знакопостоянства функции:
1) y = 5х - 15;
2) У = -7x - 28;
3) у = х^2 - 2х + 1;
4) y = 9/(3 - x).
Похожие решебники
Популярные решебники 9 класс Все решебники
*размещая тексты в комментариях ниже, вы автоматически соглашаетесь с пользовательским соглашением