Упр.263 ГДЗ Мерзляк 9 класс (Алгебра)
Решение #1 (Учебник 2024)
Решение #2 (Учебник 2021)
Решение #3 (Учебник 2021)

Рассмотрим вариант решения задания из учебника Мерзляк, Полонская, Якир 9 класс, Просвещение:
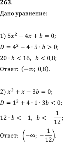
При каких значениях b уравнение:
1) 5x^2-4x+b=0 имеет два различных действительных корня;
2) x^2+x-3b=0 не имеет корней?
Найдите промежутки знакопостоянства функции:
1) y = -4х + 8;
2) у = -х^2 - 1;
3) у = корень(х) + 2.
Похожие решебники
Популярные решебники 9 класс Все решебники
*размещая тексты в комментариях ниже, вы автоматически соглашаетесь с пользовательским соглашением