Упр.261 ГДЗ Мерзляк 9 класс (Алгебра)
Решение #1 (Учебник 2024)
Решение #2 (Учебник 2021)
Решение #3 (Учебник 2021)

Рассмотрим вариант решения задания из учебника Мерзляк, Полонская, Якир 9 класс, Просвещение:
Найдите множество решений неравенства:
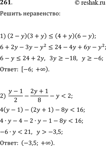
1) (2-y)(3+y)?(4+y)(6-y); 2) (y-1)/2-(2y+1)/8-y<2.
Найдите нули функции:
1) f(x) = 1/3x + 12;
2) f(x) = 6х^2 + 5х + 1;
3) f(x) = корень(х^2 - 4);
4) f(х) = -5;
5) f(x) = (3 - 0,2x)/(x + 1);
6) f(x) = х^2 - x.
Похожие решебники
Популярные решебники 9 класс Все решебники
*размещая тексты в комментариях ниже, вы автоматически соглашаетесь с пользовательским соглашением