Упр.260 ГДЗ Мерзляк 9 класс (Алгебра)
Решение #1 (Учебник 2024)
Решение #2 (Учебник 2021)
Решение #3 (Учебник 2021)

Рассмотрим вариант решения задания из учебника Мерзляк, Полонская, Якир 9 класс, Просвещение:
Решите неравенство:
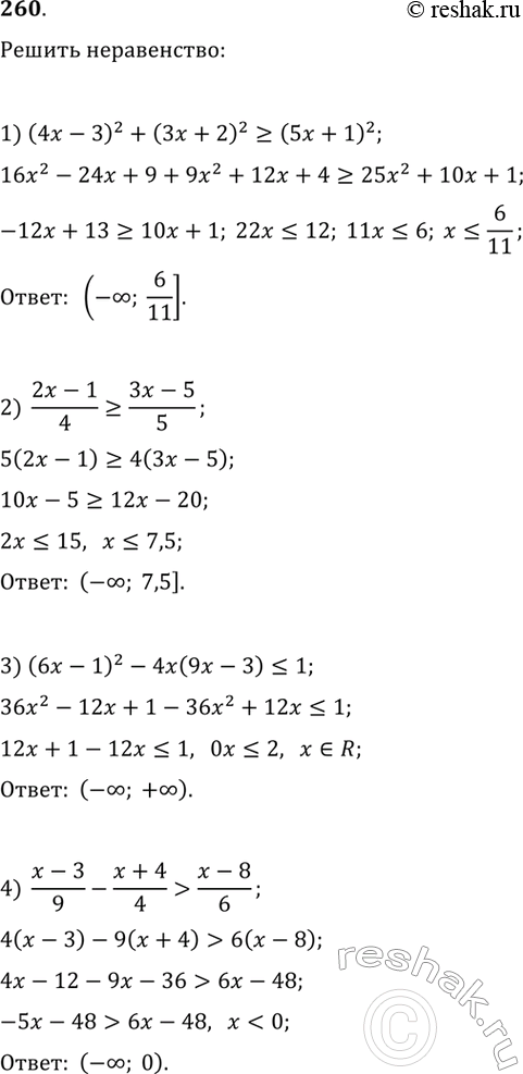
1) (4x-3)^2+(3x+2)^2?(5x+1)^2; 3) (6x-1)^2-4x(9x-3)?1;
2) (2x-1)/4?(3x-5)/5; 4) (x-3)/9-(x+4)/4>(x-8)/6.
Найдите нули функции:
1) f(x) = 0,2x + 3;
2) g(x) = 35 - 2х - х^2;
3) ф(x) = корень(x + 3);
4) h(x) = (x^2 - x - 6)/(x + 3);
5) f(x) = х^3 - 4х;
6) f(х) = х^2 + 1.
Похожие решебники
Популярные решебники 9 класс Все решебники
*размещая тексты в комментариях ниже, вы автоматически соглашаетесь с пользовательским соглашением