Упр.253 ГДЗ Мерзляк 9 класс (Алгебра)
Решение #1 (Учебник 2024)
Решение #2 (Учебник 2021)
Решение #3 (Учебник 2021)

Рассмотрим вариант решения задания из учебника Мерзляк, Полонская, Якир 9 класс, Просвещение:
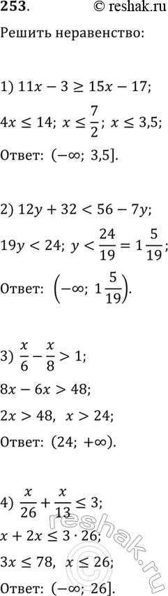
Решите неравенство:
1) 11x-3?15x-17; 3) x/6-x/8>1;
2) 12y+32<56-7y; 4) x/26+x/13?3.
Натуральное число n имеет ровно 100 различных натуральных делителей (включая 1 и n). Найдите их произведение.
Похожие решебники
Популярные решебники 9 класс Все решебники
*размещая тексты в комментариях ниже, вы автоматически соглашаетесь с пользовательским соглашением