Упр.249 ГДЗ Мерзляк 9 класс (Алгебра)
Решение #1 (Учебник 2024)
Решение #2 (Учебник 2021)
Решение #3 (Учебник 2021)

Рассмотрим вариант решения задания из учебника Мерзляк, Полонская, Якир 9 класс, Просвещение:
Решите неравенство:
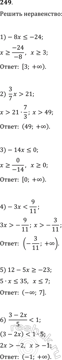
1) -8x?-24; 3) -14x?0; 5) 12-5x?-23;
2) 3/7x>21; 4) -3x<9/11; 6) (3-2x)/5<1.
Разложите на множители квадратный трёхчлен:
1) х^2 - х - 12;
2) -х^2 + 2х + 35;
3) 6х^2 + 11х - 2;
4) 2/3 х^2 + Зх - 6.
Похожие решебники
Популярные решебники 9 класс Все решебники
*размещая тексты в комментариях ниже, вы автоматически соглашаетесь с пользовательским соглашением