Упр.244 ГДЗ Мерзляк 9 класс (Алгебра)
Решение #1 (Учебник 2024)
Решение #2 (Учебник 2024)
Решение #3 (Учебник 2021)
Решение #4 (Учебник 2021)

Рассмотрим вариант решения задания из учебника Мерзляк, Полонская, Якир 9 класс, Просвещение:
В ёмкости было 12 кг кислоты. Часть кислоты отлили и долили до предыдущего уровня водой.
Потом снова отлили столько же, сколько и в первый раз, и долили водой до предыдущего уровня.
Сколько килограммов жидкости отливали каждый раз, если в результате получили 25-процентный раствор кислоты?
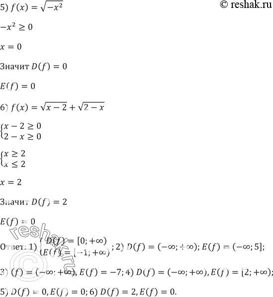
Найдите область значений функции:
1) f(x) = корень(х) - 1;
2) f(х) = 5 - х^2;
3) f(х) = -7;
4) f(x) = |х| + 2;
5) f(х) = корень(-х^2);
6) f(х) = корень(x - 2) + корень(2 - х).
Похожие решебники
Популярные решебники 9 класс Все решебники
*размещая тексты в комментариях ниже, вы автоматически соглашаетесь с пользовательским соглашением