Упр.247 ГДЗ Мерзляк 9 класс (Алгебра)
Решение #1 (Учебник 2024)
Решение #2 (Учебник 2024)
Решение #3 (Учебник 2021)
Решение #4 (Учебник 2021)

Рассмотрим вариант решения задания из учебника Мерзляк, Полонская, Якир 9 класс, Просвещение:
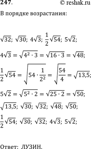
(Домашняя практическая работа) Расположите в порядке возрастания числа v32 3, v30 У, 4v3 И, (1/2)v54 Л, 5v2 Н. Буквы, соответствующие данным числам, образуют фамилию выдающегося советского математика, создателя московской матсматической школы. Найдите в Интернете информацию о его жизни, о научной и педагогической деятельности.
Найдите область определения функции и постройте её график:
1) f(x) = (x^2 - 16)/(x + 4);
2) f(x) = (12х - 72)/(x^2 - 6x);
3) f(x) = (х^2 - 9)/(х^2 - 9).
Похожие решебники
Популярные решебники 9 класс Все решебники
*размещая тексты в комментариях ниже, вы автоматически соглашаетесь с пользовательским соглашением