Упр.250 ГДЗ Мерзляк 9 класс (Алгебра)
Решение #1 (Учебник 2024)
Решение #2 (Учебник 2021)
Решение #3 (Учебник 2021)

Рассмотрим вариант решения задания из учебника Мерзляк, Полонская, Якир 9 класс, Просвещение:
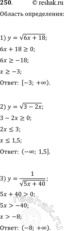
При каких значениях x имеет смысл выражение:
1) v(6x+18); 2) v(3-2x); 3) 1/v(5x+40)?
Вычислите значение выражения:
1) (10^3)^2 * 10^-8;
2) (25^-3 * 5^3)/5^-5;
3) (81^-2 * 3^5)/9^-2;
4) (0,125^3 * 32^2)/0,5^-2.
Похожие решебники
Популярные решебники 9 класс Все решебники
*размещая тексты в комментариях ниже, вы автоматически соглашаетесь с пользовательским соглашением