Упр.251 ГДЗ Мерзляк 9 класс (Алгебра)
Решение #1 (Учебник 2024)
Решение #2 (Учебник 2021)
Решение #3 (Учебник 2021)

Рассмотрим вариант решения задания из учебника Мерзляк, Полонская, Якир 9 класс, Просвещение:
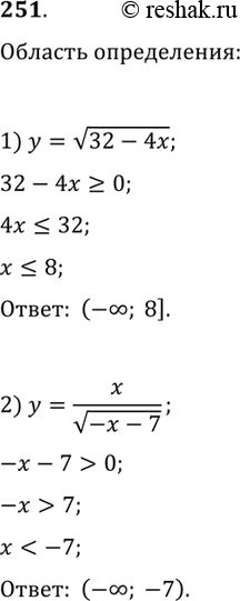
Найдите область определения выражения:
1) v(32-4x); 2) x/v(-x-7).
Цена двух шкафов была одинаковой. Цену первого шкафа сначала повысили на 20 %, а потом снизили на 10 %.
Цену второго шкафа, наоборот, сначала снизили на 10 %, а потом повысили на 20 %. Цена какого шкафа стала больше?
Похожие решебники
Популярные решебники 9 класс Все решебники
*размещая тексты в комментариях ниже, вы автоматически соглашаетесь с пользовательским соглашением