Упр.252 ГДЗ Мерзляк Полонский 8 класс (Алгебра)
Решение #1 (Учебник 2025)
Решение #2 (Учебник 2025)

Рассмотрим вариант решения задания из учебника Мерзляк, Полонская, Якир 8 класс, Просвещение:
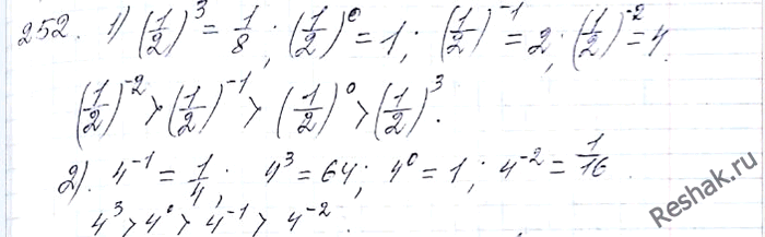
Расположите в порядке убывания:
1) (1/2)3, (1/2)0, (1/2)^-1, (1/2)^-2;
2) 4^-1, 4^3, 4^0, 4-2.
Похожие решебники
Популярные решебники 8 класс Все решебники
*К сожалению, временные проблемы с публикацией комментариев с мобильных устройств.