Упр.232 ГДЗ Мерзляк Полонский 8 класс (Алгебра)
Решение #1 (Учебник 2025)
Решение #2 (Учебник 2025)
Решение #3 (Учебник 2019)
Решение #4 (Учебник 2019)

Рассмотрим вариант решения задания из учебника Мерзляк, Полонская, Якир 8 класс, Просвещение:
Замените степень дробью:
1) 14^-4;
2) р^-20;
3) (m+n)^-1;
4) (4с-5d)^-10.
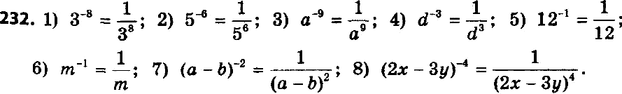
Представьте степень в виде дроби:
1) 3^-8;
2) 5^-6;
3) a^-9;
4) d^-3;
5) 12^-1;
6) m^-1;
7) (а-b)^-2;
8) (2х-3у)^-4.
Похожие решебники
Популярные решебники 8 класс Все решебники
*К сожалению, временные проблемы с публикацией комментариев с мобильных устройств.