Упр.229 ГДЗ Мерзляк Полонский 8 класс (Алгебра)
Решение #1 (Учебник 2025)
Решение #2 (Учебник 2025)
Решение #3 (Учебник 2019)
Решение #4 (Учебник 2019)

Рассмотрим вариант решения задания из учебника Мерзляк, Полонская, Якир 8 класс, Просвещение:
Существует ли натуральное число, которое при умножении на 2 становится квадратом натурального числа, а при умножении на 3 — кубом натурального числа?
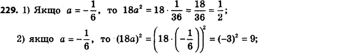
Найдите значение выражения:
1) 18а2, если а = -1/6;
2) (18а)2, если а = -1/6;
3) 6 + b4, если b = -2;
4) (6 + b)4, если b = -2.
Похожие решебники
Популярные решебники 8 класс Все решебники
*К сожалению, временные проблемы с публикацией комментариев с мобильных устройств.