Упр.20.18 ГДЗ Мордкович Семенов 11 класс (Алгебра)
Решение #1 (Учебник 2025)

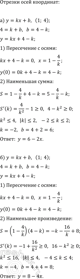
Рассмотрим вариант решения задания из учебника Мордкович, Семенов, Александрова 11 класс, Просвещение:
а) Через точку (1; 4) проведена прямая так, что сумма длин отрезков, отсекаемых ею на положительных полуосях координат, оказалась наименьшей из возможных. Составьте уравнение этой прямой.
б) Через точку (1; 4) проведена прямая так, что произведение длин отрезков, отсекаемых ею на положительных полуосях координат, оказалось наименьшим из возможных. Составьте уравнение этой прямой.
Похожие решебники
Популярные решебники 11 класс Все решебники
*К сожалению, временные проблемы с публикацией комментариев с мобильных устройств.