Упр.20.13 ГДЗ Мордкович Семенов 11 класс (Алгебра)
Решение #1 (Учебник 2025)
Решение #2 (Учебник 2022)

Рассмотрим вариант решения задания из учебника Мордкович, Семенов, Александрова 11 класс, Просвещение:
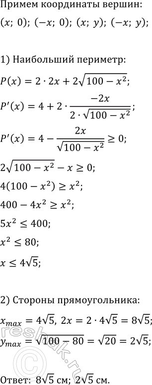
Найдите стороны прямоугольника наибольшего периметра, вписанного в полуокружность радиуса 10 см.
а) Найдите точку максимума функции y=e^(16-4x)(x-3).
б) Найдите точку минимума функции y=e^(5x-35)(x+7).
Похожие решебники
Популярные решебники 11 класс Все решебники
*К сожалению, временные проблемы с публикацией комментариев с мобильных устройств.