Упр.20.16 ГДЗ Мордкович Семенов 11 класс (Алгебра)
Решение #1 (Учебник 2025)
Решение #2 (Учебник 2022)

Рассмотрим вариант решения задания из учебника Мордкович, Семенов, Александрова 11 класс, Просвещение:
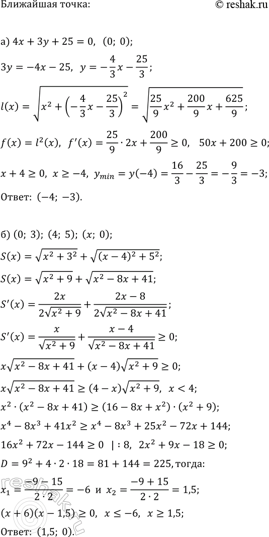
а) На прямой 4x + 3y + 25 = 0 найдите точку, ближайшую к началу координат.
б) На оси абсцисс найдите точку, сумма расстояний от которой до точек (0; 3) и (4; 5) наименьшая.
а) В некотором городе проживают 250 000 человек, 15% которых — дети и подростки в возрасте до 18 лет, остальные — взрослые. Среди взрослых 30 % — неработающее население (пенсионеры, студенты, домохозяйки и т. п.). Сколько взрослых работает?
б) В школе 600 учащихся, 30% которых — учащиеся начальной школы. Немецкий язык изучают 15% учащихся 5—11-х классов. Сколько учащихся 5—11-х классов изучают немецкий язык?
Похожие решебники
Популярные решебники 11 класс Все решебники
*К сожалению, временные проблемы с публикацией комментариев с мобильных устройств.