Упр.20.12 ГДЗ Мордкович Семенов 11 класс (Алгебра)
Решение #1 (Учебник 2025)
Решение #2 (Учебник 2022)

Рассмотрим вариант решения задания из учебника Мордкович, Семенов, Александрова 11 класс, Просвещение:
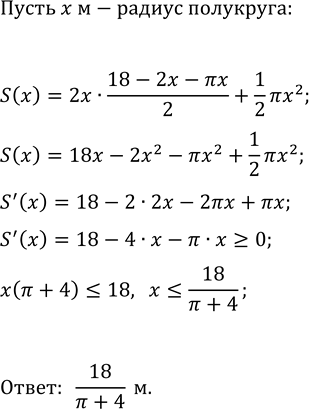
Сечение тоннеля имеет форму прямоугольника, завершённого сверху полукругом. Периметр сечения 18 м. При каком радиусе полукруга площадь сечения будет наибольшей?
Найдите неопределенный интеграл:
а) ?sin(x)dx; в) ?1/cos^2(x)dx; д) ?e^xdx;
б) ?cos(x)dx; г) ?1/sin^2(x)dx; е) ?10^xdx.
Похожие решебники
Популярные решебники 11 класс Все решебники
*К сожалению, временные проблемы с публикацией комментариев с мобильных устройств.