Упр.20.22 ГДЗ Мордкович Семенов 11 класс (Алгебра)
Решение #1 (Учебник 2025)

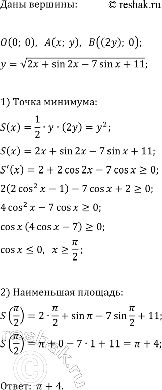
Рассмотрим вариант решения задания из учебника Мордкович, Семенов, Александрова 11 класс, Просвещение:
Найдите наименьшее значение площади треугольника OAB, где O — начало координат, A — точка на графике функции y = v(2x + sin 2x - 7sin x + 11), ?/9 ? x ? 4?/7, а B — точка на оси Ox, абсцисса которой равна удвоенной ординате точки A.
Похожие решебники
Популярные решебники 11 класс Все решебники
*К сожалению, временные проблемы с публикацией комментариев с мобильных устройств.