Упр.20.17 ГДЗ Мордкович Семенов 11 класс (Алгебра)
Решение #1 (Учебник 2025)

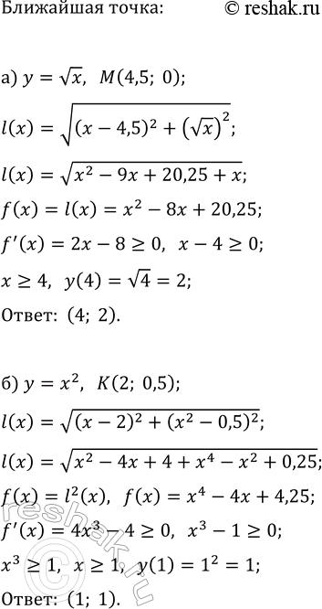
Рассмотрим вариант решения задания из учебника Мордкович, Семенов, Александрова 11 класс, Просвещение:
На графике заданной функции найдите точку, ближайшую к данной, если:
а) y = vx, M(4,5; 0); б) y = x^2, K(2; 0,5).
Похожие решебники
Популярные решебники 11 класс Все решебники
*К сожалению, временные проблемы с публикацией комментариев с мобильных устройств.