Упр.20.20 ГДЗ Мордкович Семенов 11 класс (Алгебра)
Решение #1 (Учебник 2025)

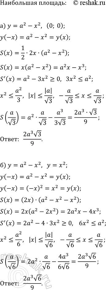
Рассмотрим вариант решения задания из учебника Мордкович, Семенов, Александрова 11 класс, Просвещение:
а) В фигуру, ограниченную параболой y = a^2 - x^2 и осью абсцисс, вписан равнобедренный треугольник так, что его основание параллельно оси абсцисс, а вершина служит началом координат. Какова наибольшая площадь такого треугольника?
б) В фигуру, ограниченную параболами y = a^2 - x^2 и y = x^2 и осью абсцисс, вписан прямоугольник так, что его стороны параллельны осям координат. Какова наибольшая площадь такого прямоугольника?
Похожие решебники
Популярные решебники 11 класс Все решебники
*К сожалению, временные проблемы с публикацией комментариев с мобильных устройств.