🔥ГДЗ под запретом?

Упр.188 ГДЗ Никольский Потапов 9 класс (Алгебра)

Решение #1

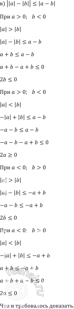
Изображение Упр.188 ГДЗ Никольский Потапов 9 класс

Решение #2

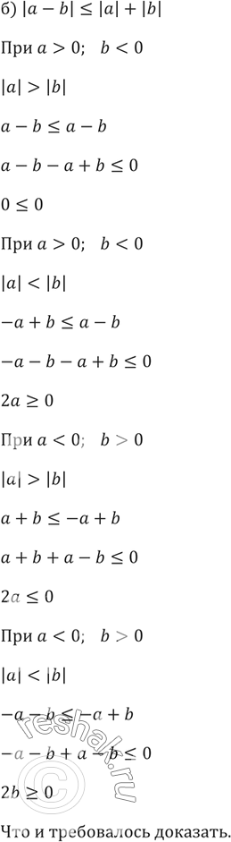
Изображение Упр.188 ГДЗ Никольский Потапов 9 класс
Дополнительное изображение
Дополнительное изображение

Рассмотрим вариант решения задания из учебника Никольский, Потапов 9 класс, Просвещение:
188.
а) |a+b| < =|a|+|b|
б) |a-b| < =|a|+|b|
в) |(|a|-|b|)| < =|a-b|
*Цитирирование задания со ссылкой на учебник производится исключительно в учебных целях для лучшего понимания разбора решения задания.
*К сожалению, временные проблемы с публикацией комментариев с мобильных устройств.