🔥ГДЗ под запретом?

Упр.186 ГДЗ Никольский Потапов 9 класс (Алгебра)

Решение #1

Изображение 186.а) vab>=2ab/(a+b)           (a>0;b>0)б) (a+b)(1/a+1/b)>=4        (a>0; b>0)в)  (1+a)(1+1/a)>=4         (a>0)г)  2a^2+b^2+c^2>=2a(b+c)д) a/b^2...
Дополнительное изображение

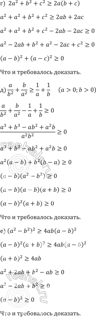
Решение #2

Изображение 186.а) vab>=2ab/(a+b)           (a>0;b>0)б) (a+b)(1/a+1/b)>=4        (a>0; b>0)в)  (1+a)(1+1/a)>=4         (a>0)г)  2a^2+b^2+c^2>=2a(b+c)д) a/b^2...
Дополнительное изображение

Рассмотрим вариант решения задания из учебника Никольский, Потапов 9 класс, Просвещение:
186.
а) vab > =2ab/(a+b) (a > 0;b > 0)
б) (a+b)(1/a+1/b) > =4 (a > 0; b > 0)
в) (1+a)(1+1/a) > =4 (a > 0)
г) 2a^2+b^2+c^2 > =2a(b+c)
д) a/b^2 +b/a^2 > =1/a+1/b (a > 0;b > 0)
е) (a^2-b^2 )^2 > =4ab(a-b)^2
*Цитирирование задания со ссылкой на учебник производится исключительно в учебных целях для лучшего понимания разбора решения задания.
*К сожалению, временные проблемы с публикацией комментариев с мобильных устройств.