🔥ГДЗ под запретом?

Упр.184 ГДЗ Никольский Потапов 9 класс (Алгебра)

Решение #1

Изображение 184. Решите систему неравенств:а) x^2-3|x|+2>010/(3-|x|)>0б) x^2-5|x|+4>011/(5-|x|)>0в)...
Дополнительное изображение
Дополнительное изображение
Дополнительное изображение
Дополнительное изображение
Дополнительное изображение

Решение #2

Изображение 184. Решите систему неравенств:а) x^2-3|x|+2>010/(3-|x|)>0б) x^2-5|x|+4>011/(5-|x|)>0в)...
Дополнительное изображение
Дополнительное изображение
Дополнительное изображение
Дополнительное изображение
Дополнительное изображение
Дополнительное изображение

Рассмотрим вариант решения задания из учебника Никольский, Потапов 9 класс, Просвещение:
184. Решите систему неравенств:
а) x^2-3|x|+2 > 0
10/(3-|x|) > 0
б) x^2-5|x|+4 > 0
11/(5-|x|) > 0
в) (|x|-1)/(|x|+2) > 0
(|x|-3)/(|x|+4) < 0
г) (|x|+1)/(|x|-4) > 0
(|x|-5)/(|x|+0,1) < 0
д) x^2+x+2/(x^2+x) > =3
(x^2+x)^2-7•(x^2+x)+6 < =0
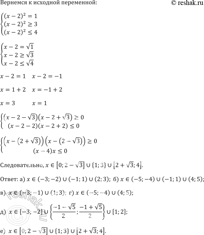
е) (x-2)^2+3/(x-2)^2 > =4
(x-2)^4-5•(x-2)^2+4 < =0
*Цитирирование задания со ссылкой на учебник производится исключительно в учебных целях для лучшего понимания разбора решения задания.
*К сожалению, временные проблемы с публикацией комментариев с мобильных устройств.