Упр.146 ГДЗ Мерзляк Полонский 8 класс (Алгебра)
Решение #1 (Учебник 2025)
Решение #2 (Учебник 2025)
Решение #3 (Учебник 2019)
Решение #4 (Учебник 2019)

Рассмотрим вариант решения задания из учебника Мерзляк, Полонская, Якир 8 класс, Просвещение:
Какому из данных выражений равно частное 3/c3 : 12/c9?
1) с3/4;
2) c6/4;
3) 4c3;
4) 4c6.
Упростите выражение:
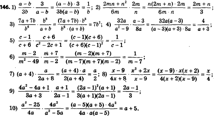
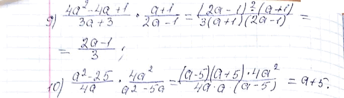
1) (a-b)/3b * 3/(a-b);
2) (2mn+n2)/6m * 2m/n;
Похожие решебники
Популярные решебники 8 класс Все решебники
*К сожалению, временные проблемы с публикацией комментариев с мобильных устройств.