Упр.145 ГДЗ Мерзляк Полонский 8 класс (Алгебра)
Решение #1 (Учебник 2025)
Решение #2 (Учебник 2025)
Решение #3 (Учебник 2019)
Решение #4 (Учебник 2019)

Рассмотрим вариант решения задания из учебника Мерзляк, Полонская, Якир 8 класс, Просвещение:
Выполните умножение:
1) (3a+b)/4c * c/(3a+b);
2) (ab-b2)/8 * 4a/b4;
Упростите выражение:
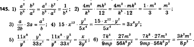
1) a2/b6 * b2/a2;
2) 4m2/k5 * mk5/12;
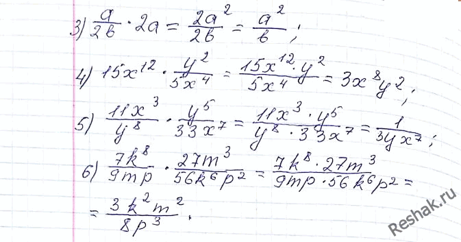
3) a/2b * 2a;
4) 15x12 * y2/5x4;
5) 11x3/y8 * y5/33x7;
6) 7k8/9mp * 27m3/56k6p2.
Похожие решебники
Популярные решебники 8 класс Все решебники
*К сожалению, временные проблемы с публикацией комментариев с мобильных устройств.