Упр.144 ГДЗ Мерзляк 8 класс (Алгебра)
Решение #1
Решение #2
Решение #3

Рассмотрим вариант решения задания из учебника Мерзляк, Полонская, Якир 8 класс, Вентана-Граф:
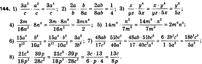
144. Выполните умножение:
1) 3a2/c * a2/c;
2) 2a/b * b/8a;
3) x/yz * y4/5x;
4) 3m/16n2 * 8n6;
5) 14m9 * n2/7m3;
6) 15a4/b12 * b6/10a2;
7) 48ab/17c4 * 51bc5/40a4;
8) 21c3/13p2 * 39p/29c2.
Похожие решебники
Популярные решебники 8 класс Все решебники
*К сожалению, временные проблемы с публикацией комментариев с мобильных устройств.