Упр.15.9 ГДЗ Мордкович Семенов 11 класс (Алгебра)
Решение #1 (Учебник 2025)
Решение #2 (Учебник 2022)

Рассмотрим вариант решения задания из учебника Мордкович, Семенов, Александрова 11 класс, Просвещение:
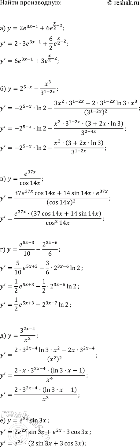
Найдите производную функции:
а) y = 2e^(3x-1) + 6e^(x/2 - 2); б) y = 2^(5-x) - (x^3 / 3^(1-2x));
в) y = e^(37x) / cos 14x; г) y = (e^(5x+3) / 10) - (2^(3x-6) / 6);
д) y = 3^(2x-4) / x^2; е) y = e^(2x) sin 3x.
Изобразите эскиз графика функции у=f(x), если промежутки постоянства знака производной f'(x) представлены на указанном рисунке:
а) рис. 72; в) рис. 74; д) рис. 76;
б) рис. 73; г) рис. 75; е) рис. 77.
Похожие решебники
Популярные решебники 11 класс Все решебники
*К сожалению, временные проблемы с публикацией комментариев с мобильных устройств.