Упр.542 ГДЗ Макарычев Миндюк 9 класс (Алгебра)
Решение #1
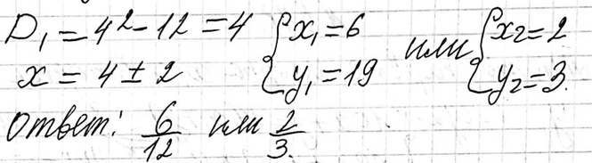
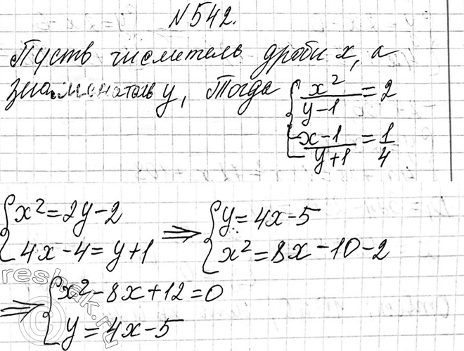
Решение #2
Решение #3

Рассмотрим вариант решения задания из учебника Макарычев, Миндюк, Нешков 9 класс, Просвещение:
542. Если числитель обыкновенной дроби возвести в квадрат, а знаменатель уменьшить на 1, то получится дробь, равная 2. Если же числитель дроби уменьшить на 1, а знаменатель увеличить на 1, то получится дробь, равная Найдите эту дробь.
Похожие решебники
Популярные решебники 9 класс Все решебники
*размещая тексты в комментариях ниже, вы автоматически соглашаетесь с пользовательским соглашением