Упр.1021 ГДЗ Алимов 10-11 класс (Алгебра)
Решение #1
Решение #2

Рассмотрим вариант решения задания из учебника Алимов, Колягин, Ткачёва 11 класс, Просвещение:
1021 1) Параболой у = 2 - х2 и прямой у = -х;
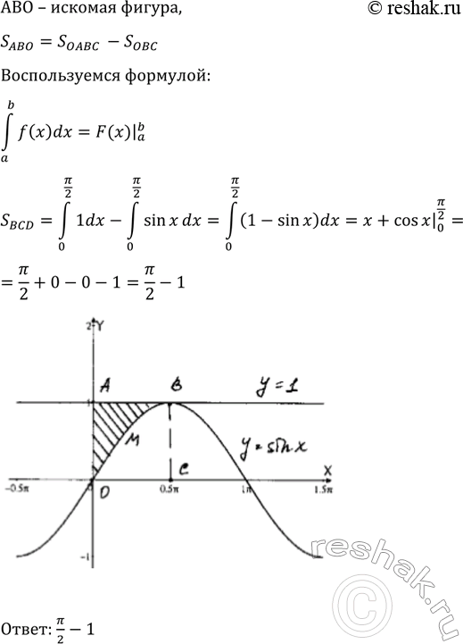
2) прямой у = 1, осью Оу и графиком функции у = sin х при 0 < =x < = пи/2
Популярные решебники 11 класс Все решебники
*размещая тексты в комментариях ниже, вы автоматически соглашаетесь с пользовательским соглашением