№301 ГДЗ Рымкевич 10-11 класс (Физика)
Решение #1
Решение #2
Решение #3

Рассмотрим вариант решения задания из учебника Рымкевич 10-11 класс, Дрофа:
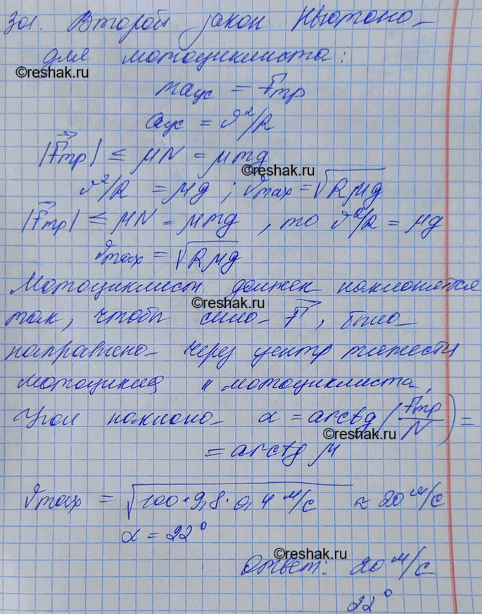
С какой максимальной скоростью может ехать мотоциклист по горизонтальной плоскости, описывая дугу радиусом 100 м, если коэффициент трения резины о почву 0,4? На какой угол от вертикального положения он при этом отклоняется?
Популярные решебники 10-11 класс Все решебники
*размещая тексты в комментариях ниже, вы автоматически соглашаетесь с пользовательским соглашением