№295 ГДЗ Рымкевич 10-11 класс (Физика)
Решение #1
Решение #2
Решение #3

Рассмотрим вариант решения задания из учебника Рымкевич 10-11 класс, Дрофа:
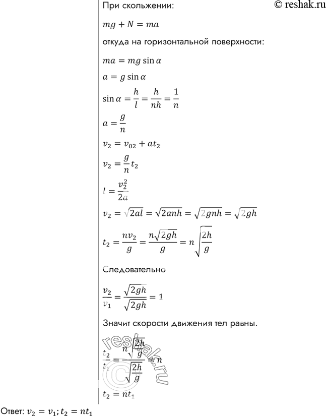
В момент начала свободного падения первого тела с некоторой высоты h второе тело стало скользить без трения с наклонной плоскости, имеющей ту же высоту h и длину l=nh. Сравнить конечные скорости тел у основания наклонной плоскости и время их движения.
Популярные решебники 10-11 класс Все решебники
*размещая тексты в комментариях ниже, вы автоматически соглашаетесь с пользовательским соглашением