Решаем устно Параграф 37 ГДЗ Мерзляк Полонский 5 класс (Математика)
Решение #1 (Учебник 2024)
Решение #2 (Учебник 2019)

Рассмотрим вариант решения задания из учебника Мерзляк, Полонский, Якир 5 класс, Просвещение:
1. Андрей тратит на путь от дома до школы 24 мин. Какую часть пути он проходит: за 6 мин; за 12 мин; за 9 мин; за 16 мин?
2. Сократите дроби: 16/20, 12/18, 10/15, 9/15, 25/15.
3. Назовите какие-либо три дроби, каждая из которых равна 1/7.
4. Среди следующих равенств укажите неверные:
1) 42/63 = 2/3; 2) 15/55 = 3/10; 3) 7/8 = 56/72; 4) 12/23 = 36/69.
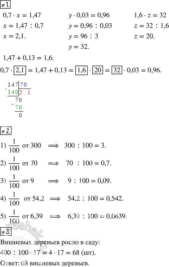
1. Найдите числа, которых не хватает в цепочке вычислений:
0,7 · ___ = 1,47 + 0,13 = ___ · ___ = ___ · 0,03 = 0,96.
2. Найдите 1/100 числа: 1) 300; 2) 70; 3) 9; 4) 54,2; 5) 6,39.
3. В саду росло 400 деревьев, из которых 17/100 составляли вишни. Сколько вишнёвых деревьев росло в саду?
4. В школе учатся 800 учеников, из которых 0,14 имеют по математике годовую оценку 5 баллов. Сколько учеников имеют пятёрку но математике?
5. Чему равна сумма двух чисел, если она больше одного из них на 3,8, а другого — на 6,4?
6. Чему равно уменьшаемое, если оно больше вычитаемого на 1,9, а разности — на 2,3?
Похожие решебники
Популярные решебники 5 класс Все решебники
*размещая тексты в комментариях ниже, вы автоматически соглашаетесь с пользовательским соглашением