Решаем устно Параграф 36 ГДЗ Мерзляк Полонский 5 класс (Математика)
Решение #1 (Учебник 2024)
Решение #2 (Учебник 2019)

Рассмотрим вариант решения задания из учебника Мерзляк, Полонский, Якир 5 класс, Просвещение:
1. Объясните, почему верно равенство:
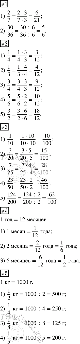
1) 2/7 = 6/21; 2) 30/36 = 5/6.
2. Сколько двенадцатых частей: 1) в 1/4; 2) в 1/3; 3) в 3/4; 4) в 5/6; 5) в 3/2?
3. Сколько сотых частей: 1) в 1/10; 2) в 3/20; 3) в 7/25; 4) в 23/50; 5) в 124/200?
4. Какую часть года составляет: 1) 1 месяц; 2) 2 месяца; 3) б месяцев?
5. Сколько граммов составляет: 1) 1/2 кг; 2) 1/4 кг; 3) 1/8 кг; 4) 1/5 кг?
1. Заполните цепочку вычислений:
2. Найдите четвёртую часть разности 5,2 - 2,4.
3. Найдите пятую часть произведения 1,8 · 1,5.
4. От села до станции 2 км. Успеет ли пешеход на поезд, если выйдет из села за 0,6 ч до отхода поезда и будет двигаться со скоростью 2,5 км/ч?
Похожие решебники
Популярные решебники 5 класс Все решебники
*К сожалению, временные проблемы с публикацией комментариев с мобильных устройств.