🔥ГДЗ под запретом?

Проверьте себя Пункт 37 ГДЗ Виленкин Жохов 6 класс Часть 2, Просвещение (Математика)

Решение #1 (Учебник 2023)

Изображение Проверочная работа Рациональные числаПредставьте в виде десятичной дроби число:1. Одна целая одна пятая.2. Минус две целых три двадцать пятых.3. Минус шесть...

Решение #2 (Учебник 2023)

Изображение Проверочная работа Рациональные числаПредставьте в виде десятичной дроби число:1. Одна целая одна пятая.2. Минус две целых три двадцать пятых.3. Минус шесть...

Решение #3 (Учебник 2021)

Изображение Проверочная работа Рациональные числаПредставьте в виде десятичной дроби число:1. Одна целая одна пятая.2. Минус две целых три двадцать пятых.3. Минус шесть...

Рассмотрим вариант решения задания из учебника Виленкин, Жохов, Чесноков 6 класс, Просвещение:
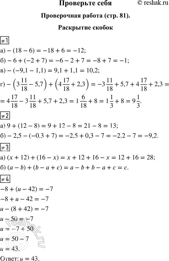
Проверочная работа
1. Раскройте скобки и вычислите:
а) -(18 - 6); в) -(-9,1 - 1,1);
б) -6 + (-2 + 7); г) -(3 11/18 - 5,7) + (4 17/18 + 2,3).
2. Определите, какие знаки должны стоять в рамках, и вычислите:
а) 9 + (12 - 8) = 9 ? 12 ? 8;
б) -2,5 - (-0,3 + 7) = -2,5 ? 0,3 ? 7.
3. Составьте сумму выражений и упростите:
а) x + 12 и 16 - х; б) а - b и b - а + с.
4. Решите уравнение -8 + (u - 42) = -7.

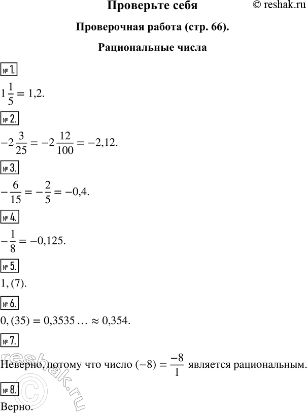
Проверочная работа
Рациональные числа
Представьте в виде десятичной дроби число:
1. Одна целая одна пятая.
2. Минус две целых три двадцать пятых.
3. Минус шесть пятнадцатых.
4. Минус одна восьмая.
5. Запишите периодическую дробь одна целая и семь в периоде.
6. Число 0,(35) округлите до тысячных.
Верно ли высказывание (ответьте да или нет)?
7. Число минус восемь не является рациональным.
8. Произведение любых двух рациональных чисел также рациональное число.

*Цитирирование задания со ссылкой на учебник производится исключительно в учебных целях для лучшего понимания разбора решения задания.
*К сожалению, временные проблемы с публикацией комментариев с мобильных устройств.