🔥ГДЗ под запретом?

Проверьте себя Пункт 32 ГДЗ Виленкин Жохов 6 класс Часть 2, Просвещение (Математика)

Решение #1 (Учебник 2023)

Изображение Проверочная работаСложение отрицательных чиселНайдите сумму:1. Минус восемнадцати и нуля.2. Минус шести и минус трёх.3. Минус десяти и десяти.4. Число минус...
Дополнительное изображение

Решение #2 (Учебник 2023)

Изображение Проверочная работаСложение отрицательных чиселНайдите сумму:1. Минус восемнадцати и нуля.2. Минус шести и минус трёх.3. Минус десяти и десяти.4. Число минус...

Решение #3 (Учебник 2021)

Изображение Проверочная работаСложение отрицательных чиселНайдите сумму:1. Минус восемнадцати и нуля.2. Минус шести и минус трёх.3. Минус десяти и десяти.4. Число минус...

Рассмотрим вариант решения задания из учебника Виленкин, Жохов, Чесноков 6 класс, Просвещение:
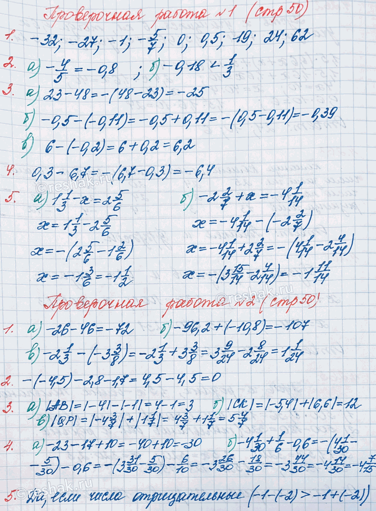
Проверочная работа № 1
1. Расположите числа в порядке возрастания:
-27; 24; -32; 62; 19; -1; 0; -5/7; 0,5.
2. Сравните числа:
а) -4/5 и -0,8; б) -0,18 и 1/3.
3. Вычислите:
а) 23 - 48; б) -0,5 - (-0,11); в) 6 - (-0,2).
4. Найдите значение выражения а - b, если а = 0,3, b = 6,7.
5. Решите уравнение:
а) 1 1/3 - x = 2 5/6; б) -2 2/7 + x = - 4 1/14.
Проверочная работа № 2
1. Вычислите:
а) -26 - 46;
б) -96,2 + (-10,8);
в) -3 1/3 - (-3 3/8).
2. Упростите выражение -k - 2,8 - 1,7 и найдите его значение при k = -4,5.
3. Найдите расстояние в единичных отрезках между точками:
а) A(-4) и В(-1); б) С(-5,4) и K(6,6); в) Q(-4 3/7) и P(1 1/7).
4. Найдите значение выражения:
а) -23 - 17 + 10; б) -4 1/30 + 1/6 - 0,6.
5. Может ли разность двух чисел быть больше суммы этих же чисел? Если да, приведите пример.

Проверочная работа
Сложение отрицательных чисел
Найдите сумму:
1. Минус восемнадцати и нуля.
2. Минус шести и минус трёх.
3. Минус десяти и десяти.
4. Число минус восемь изменили на минус шесть. Какое число получили?
5. Какое число нужно прибавить к минус семи, чтобы получить минус пятнадцать?
Верно ли высказывание (ответьте да или нет)?
6. Любое число от прибавления отрицательного числа увеличивается.
7. Сумма двух отрицательных чисел меньше каждого из слагаемых.
8. Модуль суммы минус трёх и минус четырёх равен семи.

*Цитирирование задания со ссылкой на учебник производится исключительно в учебных целях для лучшего понимания разбора решения задания.
*К сожалению, временные проблемы с публикацией комментариев с мобильных устройств.