🔥ГДЗ под запретом?

Упр.4.261 ГДЗ Виленкин Жохов 6 класс Часть 2, Просвещение (Математика)

Решение #1 (Учебник 2023)

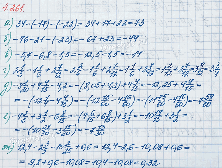
Изображение Вычислите значение выражения:а) 34 - (-17) - (-22);   в) -5,7 - 6,8	- 1,5;        д) 5,9 - (-3) - (-4,1);б) -46 - 21 - (-23);     г) 2 1/3 - 1 1/6 + 2 7/12;   е) -8...

Решение #2 (Учебник 2023)

Изображение Вычислите значение выражения:а) 34 - (-17) - (-22);   в) -5,7 - 6,8	- 1,5;        д) 5,9 - (-3) - (-4,1);б) -46 - 21 - (-23);     г) 2 1/3 - 1 1/6 + 2 7/12;   е) -8...
Дополнительное изображение
Дополнительное изображение

Решение #3 (Учебник 2023)

Изображение Вычислите значение выражения:а) 34 - (-17) - (-22);   в) -5,7 - 6,8	- 1,5;        д) 5,9 - (-3) - (-4,1);б) -46 - 21 - (-23);     г) 2 1/3 - 1 1/6 + 2 7/12;   е) -8...

Решение #4 (Учебник 2021)

Изображение Вычислите значение выражения:а) 34 - (-17) - (-22);   в) -5,7 - 6,8	- 1,5;        д) 5,9 - (-3) - (-4,1);б) -46 - 21 - (-23);     г) 2 1/3 - 1 1/6 + 2 7/12;   е) -8...

Рассмотрим вариант решения задания из учебника Виленкин, Жохов, Чесноков 6 класс, Просвещение:
Вычислите значение выражения:
а) 34 - (-17) - (-22); г) 2 1/3 - 1 1/6 + 2 7/12;
б) -46 - 21 - (-23); д) -8 1/20 + 4 4/15 - 4,2;
в) -5,7 - 6,8 - 1,5; е) -4 2/5 + 3 1/2 - 6 8/15;
ж) 12,4 - 2 3/5 - 10 2/25 + 0,6.

Вычислите значение выражения:
а) 34 - (-17) - (-22); в) -5,7 - 6,8 - 1,5; д) 5,9 - (-3) - (-4,1);
б) -46 - 21 - (-23); г) 2 1/3 - 1 1/6 + 2 7/12; е) -8 1/20 + 4 4/15 - 4,2.
Для того, чтобы из данного числа вычесть другое, необходимо к уменьшаемому прибавить число, противоположное вычитаемому.
Для того, чтобы сложить два отрицательных числа, необходимо найти модули слагаемых и сложить модули слагаемых; перед полученным числом поставить знак «-».
Для того, чтобы сложить два числа с разными знаками, необходимо найти модули слагаемых и из большего модуля вычесть меньший модуль; перед полученным числом поставить знак слагаемого с большим модулем.
При сравнении модулей чисел опираемся на следующие правила:
- из двух натуральных чисел больше то, которое в натуральном ряду встречается раньше.
- из двух дробей с одинаковыми знаменателями больше та, у которой числитель больше, и меньше та, у которой числитель меньше.
- для того, чтобы сравнить две дроби с разными знаменателями, необходимо привести данные дроби к общему знаменателю; применить правило сравнения дробей с одинаковыми знаменателями.
- из двух смешанных чисел с разными целыми частями больше то число, у которого целая часть больше.
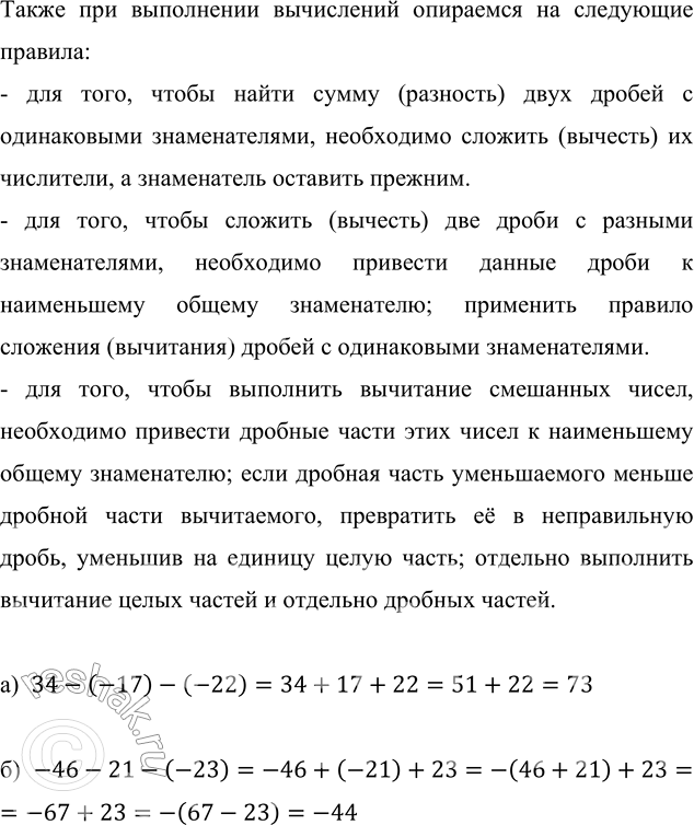
Также при выполнении вычислений опираемся на следующие правила:
- для того, чтобы найти сумму (разность) двух дробей с одинаковыми знаменателями, необходимо сложить (вычесть) их числители, а знаменатель оставить прежним.
- для того, чтобы сложить (вычесть) две дроби с разными знаменателями, необходимо привести данные дроби к наименьшему общему знаменателю; применить правило сложения (вычитания) дробей с одинаковыми знаменателями.
- для того, чтобы выполнить вычитание смешанных чисел, необходимо привести дробные части этих чисел к наименьшему общему знаменателю; если дробная часть уменьшаемого меньше дробной части вычитаемого, превратить её в неправильную дробь, уменьшив на единицу целую часть; отдельно выполнить вычитание целых частей и отдельно дробных частей.
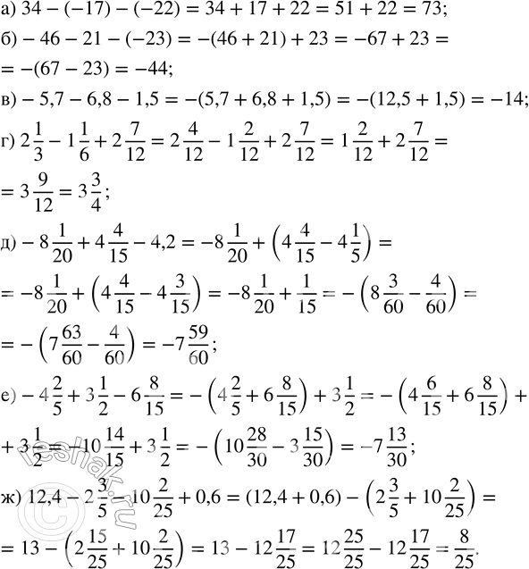
а) 34-(-17)-(-22)=34+17+22=51+22=73
б) -46-21-(-23)=-46+(-21)+23=-(46+21)+23==-67+23=-(67-23)=-44
в) -5,7-6,8-1,5=-5,7+(-6,8)+(-1,5)=-(5,7+6,8+1,5)=-(12,5+1,5)=-14
г) 2 1/3-1 1/6+2 7/12=2 (1•4)/(3•4)-1 (1•2)/(6•2)+2 7/12=2 4/12-1 2/12+2 7/12=((2-1)+(4/12-2/12))+2 7/12=(1+(4-2)/12)+2 7/12=1 2/12+2 7/12==(1+2)+(2/12+7/12)=3+(2+7)/12=3 9/12=3 (3•3)/(3•4)=3 3/4
д) 5,9-(-3)-(-4,1)=5,9+3+4,1=10+3=13
е) -8 1/20+4 4/15-4,2=-8 1/20+4 4/15-4 2/10=-8 (1•3)/(20•3)+4 (4•4)/(15•4)-4 (2•6)/(10•6)=-8 3/60+4 16/60-4 12/60=-8 3/60+4 16/60+(-4 12/60)=-(8 3/60+4 12/60)+4 16/60=-((8+4)+(3/60+12/60))+4 16/60=-(12+(3+12)/60)+4 16/60=-12 15/60+4 16/60=-(12 15/60-4 16/60)=-((11 15/60+1)-4 16/60)=-((11 15/60+60/60)-4 16/60)=-(11 (15+60)/60-4 16/60)=-(11 75/60-4 16/60)=-((11-4)+(75/60-16/60))=-(7+(75-16)/60)=-7 59/60

*Цитирирование задания со ссылкой на учебник производится исключительно в учебных целях для лучшего понимания разбора решения задания.
*К сожалению, временные проблемы с публикацией комментариев с мобильных устройств.