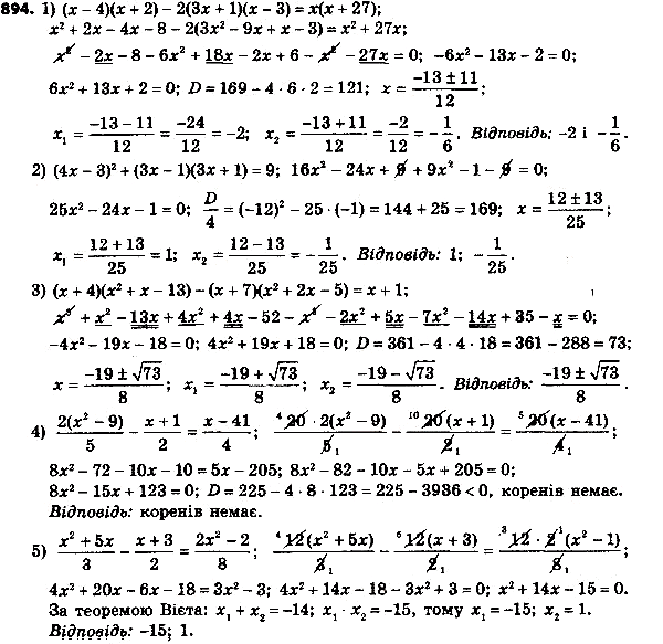
Упр.894 ГДЗ Мерзляк Полонский 8 класс (Алгебра)
Решение #1 (Учебник 2025)
Решение #2 (Учебник 2019)

Рассмотрим вариант решения задания из учебника Мерзляк, Полонская, Якир 8 класс, Просвещение:
Докажите неравенство:
1) a^2 + b^2 - 16a + 14b + 114 > 0;
2) x^2 + y^2 + 10 >= 6x - 2y;
3) c^2 + 5d^2 + 4cd - 4d + 4 >= 0.
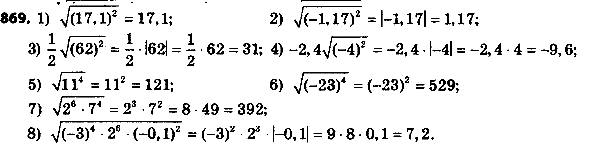
Найдите значение выражения:
1) корень (17,1)2;
2) корень (-1,17)2;
3) 1/2 корень (62)2;
4) -2/4 корень (-4)2;
5) корень 11^4;
6) корень (-23)^4;
7) корень (2^6 * 7^4);
8) корень ((-3)^4 * 2^6 * (-0,1)2).
Похожие решебники
Популярные решебники 8 класс Все решебники
*К сожалению, временные проблемы с публикацией комментариев с мобильных устройств.