Упр.897 ГДЗ Мерзляк Полонский 8 класс (Алгебра)
Решение #1 (Учебник 2025)
Решение #2 (Учебник 2019)

Рассмотрим вариант решения задания из учебника Мерзляк, Полонская, Якир 8 класс, Просвещение:
Упростите:
1) корень из (512)/8;
2) (3корень из 7))^2 / 21;
3) корень из (45) + корень из (20);
4) (корень из (19) - 3)(корень из (19) + 3);
5) корень из (5)*корень из (72)*корень из (30);
6) корень из ((26 + 1)^2).
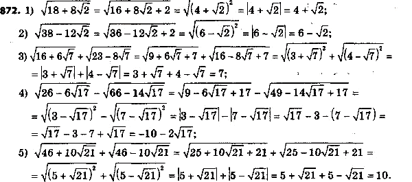
Упростите выражение:
1) корень (18 + 8 корень 2);
2) корень (38 - 12 корень 2);
3) корень (16 + 6 корень 7) + корень (23 - 8 корень 7);
4) корень (26 - 6 корень 17) - корень (66 - 14 корень 17);
5) корень (46 + 10 корень 21) + корень (46 - 10 корень 21).
Похожие решебники
Популярные решебники 8 класс Все решебники
*К сожалению, временные проблемы с публикацией комментариев с мобильных устройств.