Упр.898 ГДЗ Мерзляк 8 класс (Алгебра)
Решение #1
Решение #2
Решение #3

Рассмотрим вариант решения задания из учебника Мерзляк, Полонская, Якир 8 класс, Вентана-Граф:
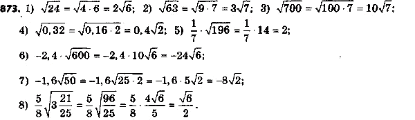
898. Вынесите множитель из-под знака корня:
1) корень 24;
2) корень 63;
3) корень 700;
4) корень 0,32;
5) 1/7 корень 196;
6) -2,4 корень 600;
7) -1,6 корень 50;
8) 5/8 корень (3 21/25).
Похожие решебники
Популярные решебники 8 класс Все решебники
*размещая тексты в комментариях ниже, вы автоматически соглашаетесь с пользовательским соглашением