Упр.889 ГДЗ Мерзляк 8 класс (Алгебра)
Решение #1
Решение #2
Решение #3

Рассмотрим вариант решения задания из учебника Мерзляк, Полонская, Якир 8 класс, Вентана-Граф:
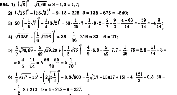
889. Найдите значение выражения:
1) (корень 3)2 - корень 1,69;
2) (З корень 15)2 - (15 корень 3)2;
3) 50 (-1/5 корень 7)2 - 1/4 (3 корень 2)2;
Похожие решебники
Популярные решебники 8 класс Все решебники
*К сожалению, временные проблемы с публикацией комментариев с мобильных устройств.