Упр.893 ГДЗ Мерзляк Полонский 8 класс (Алгебра)
Решение #1 (Учебник 2025)
Решение #2 (Учебник 2019)

Рассмотрим вариант решения задания из учебника Мерзляк, Полонская, Якир 8 класс, Просвещение:
Докажите неравенство:
1) a^2 + b^2 + 6a - 4b + 13 >= 0;
2) x^2 - 2x + y^2 + 10y + 28 > 0;
3) 2m^2 - 6mn + 9n^2 - 6m + 9 >= 0;
4) a^2 + b^2 + c^2 + 12 >= 4(a + b + c);
5) a^2b^2 + a^2 + b^2 + 1 >= 4ab.
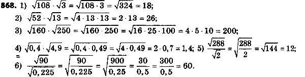
Найдите значение выражения:
1) корень 108 * корень 3;
2) корень 52 * корень 13;
3) корень 160 * корень 250;
4) корень 0,4 * корень 4,9;
5) корень 288 / корень 2;
6) корень 90 / корень 0,225.
Похожие решебники
Популярные решебники 8 класс Все решебники
*К сожалению, временные проблемы с публикацией комментариев с мобильных устройств.