Упр.888 ГДЗ Мерзляк 8 класс (Алгебра)
Решение #1
Решение #2
Решение #3

Рассмотрим вариант решения задания из учебника Мерзляк, Полонская, Якир 8 класс, Вентана-Граф:
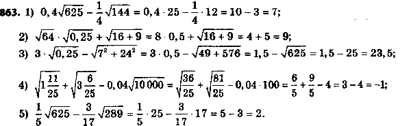
888. Найдите значение выражения:
1) 0,4 корень 625 - 1/4 корень 144;
2) корень 64 * корень 0,25 + корень (2^4 + 9);
3) 3 корень 0,25 - корень (7^2 + 24^2);
Похожие решебники
Популярные решебники 8 класс Все решебники
*размещая тексты в комментариях ниже, вы автоматически соглашаетесь с пользовательским соглашением