Упр.811 ГДЗ Мерзляк Полонский 7 класс (Алгебра)
Решение #1 (Учебник 2025)
Решение #2 (Учебник 2021)
Решение #3 (Учебник 2021)

Рассмотрим вариант решения задания из учебника Мерзляк, Полонская, Якир 7 класс, Вентана-Граф:
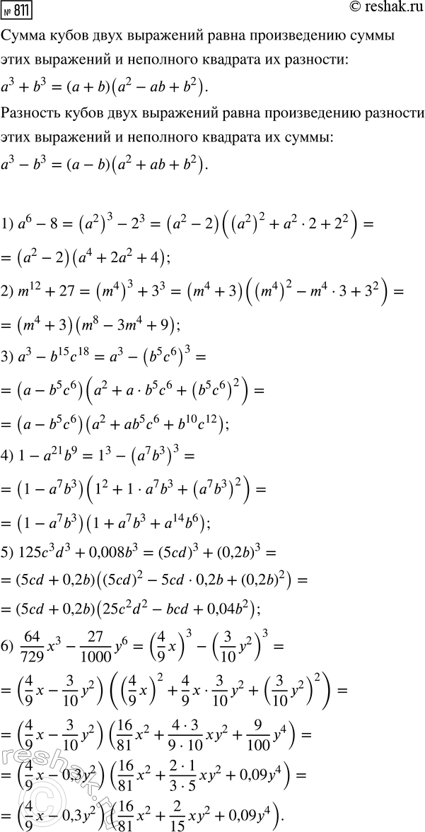
Разложите на множители:
1) a^6 - 8; 3) a^3 - b^15 c^18; 5) 125c^3 d^3 + 0,008b^3;
2) m^12 + 27; 4) 1 - a^21 b^9; 6) 64/729 x^3 - 27/1000 y^6.
Функция задана формулой f(x) = 3x + 5. При каком значении х значение функции равно значению аргумента?
Похожие решебники
Популярные решебники 7 класс Все решебники
*К сожалению, временные проблемы с публикацией комментариев с мобильных устройств.