Упр.810 ГДЗ Мерзляк Полонский 7 класс (Алгебра)
Решение #1 (Учебник 2025)
Решение #2 (Учебник 2021)
Решение #3 (Учебник 2021)

Рассмотрим вариант решения задания из учебника Мерзляк, Полонская, Якир 7 класс, Вентана-Граф:
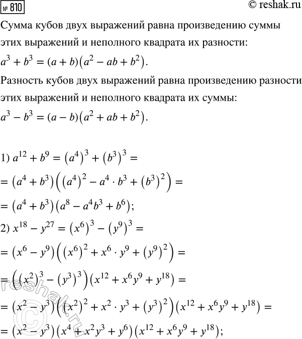
Разложите на множители:
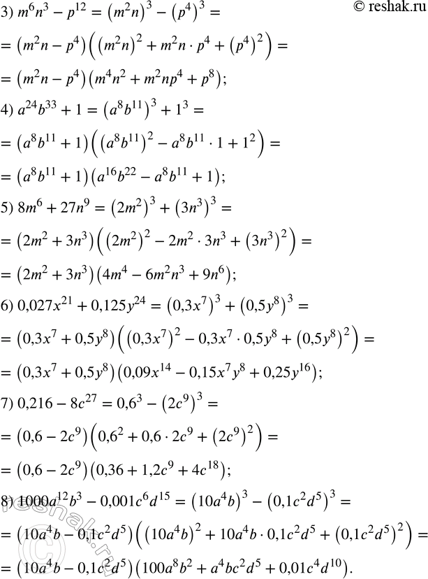
1) a^12 + b^9; 4) a^24 b^33 + 1; 7) 0,216 - 8c^27;
2) x^18 - y^27; 5) 8m^6 + 27n^9; 8) 1000a^12 b^3 - 0,001c^6 d^15.
3) m^6 n^3 - p^12; 6) 0,027x^21 + 0,125y^24;
Функции заданы формулами у = х2 - 8х и у = 4 - 8x. При каких значениях аргумента эти функции принимают равные значения?
Похожие решебники
Популярные решебники 7 класс Все решебники
*К сожалению, временные проблемы с публикацией комментариев с мобильных устройств.