Упр.77 ГДЗ Мерзляк 9 класс (Алгебра)
Решение #1 (Учебник 2024)
Решение #2 (Учебник 2021)
Решение #3 (Учебник 2021)
Решение #4 (Учебник 2021)

Рассмотрим вариант решения задания из учебника Мерзляк, Полонская, Якир 9 класс, Просвещение:
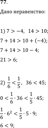
Запишите неравенство, которое получим, если:
1) сложим почленно неравенства 7>-4 и 14>10;
2) умножим почленно неравенства 1/6<1/5 и 36<45.
Сравните значения выражений:
1) 2^24 и 9^8;
2) 0,3^20 и 0,1^10;
3) 0,0015^10 и 0,2^40.
Похожие решебники
Популярные решебники 9 класс Все решебники
*размещая тексты в комментариях ниже, вы автоматически соглашаетесь с пользовательским соглашением