Упр.73 ГДЗ Мерзляк 9 класс (Алгебра)
Решение #1 (Учебник 2024)
Решение #2 (Учебник 2021)
Решение #3 (Учебник 2021)
Решение #4 (Учебник 2021)

Рассмотрим вариант решения задания из учебника Мерзляк, Полонская, Якир 9 класс, Просвещение:
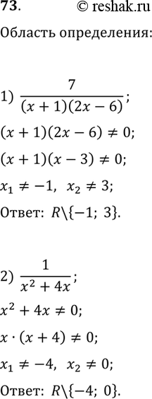
При каких значениях переменной имеет смысл выражение:
1) 7/((x+1)(2x-6)); 2) 1/(x^2+4x)?
Известно, что а > 3 и b > -2. Докажите, что 5а + 4b > 7.
Похожие решебники
Популярные решебники 9 класс Все решебники
*размещая тексты в комментариях ниже, вы автоматически соглашаетесь с пользовательским соглашением