Упр.76 ГДЗ Мерзляк 9 класс (Алгебра)
Решение #1 (Учебник 2024)
Решение #2 (Учебник 2021)
Решение #3 (Учебник 2024)
Решение #4 (Учебник 2024)

Рассмотрим вариант решения задания из учебника Мерзляк, Полонская, Якир 9 класс, Просвещение:
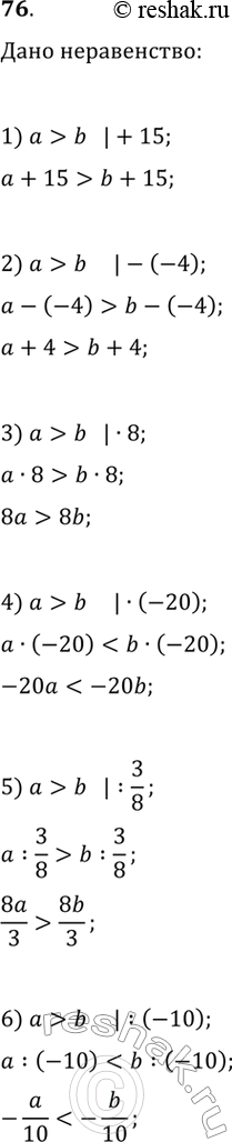
Известно, что a>b. Запишите неравенство, которое получим, если:
1) к обеим частям данного неравенства прибавим число 15;
2) из обеих частей данного неравенства вычтем число -4;
3) обе части данного неравенства умножим на число 8;
4) обе части данного неравенства умножим на число -20;
5) обе части данного неравенства разделим на число 3/8;
б) обе части данного неравенства разделим на число -10.
Дано: 1/3 < x < 1/2 и 1/7 < у < 1/4. Оцените значение выражения:
1) 6х + 14y;
2) 28y - 12x;
3) y/x.
Похожие решебники
Популярные решебники 9 класс Все решебники
*К сожалению, временные проблемы с публикацией комментариев с мобильных устройств.