Упр.72 ГДЗ Мерзляк 9 класс (Алгебра)
Решение #1 (Учебник 2024)
Решение #2 (Учебник 2021)
Решение #3 (Учебник 2021)
Решение #4 (Учебник 2021)

Рассмотрим вариант решения задания из учебника Мерзляк, Полонская, Якир 9 класс, Просвещение:
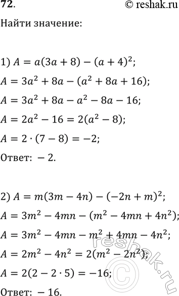
Упростите выражение и найдите его значение:
1) a(3a+8)-(a+4)^2 при a=v7;
2) m(3m-4n)-(-2n+m)^2 при m=v2, n=v5.
Дано: a > 2,4 и b > 1,6. Сравните:
1) a + 3/4b и 3,6;
2) (а + b)^2 и 16;
3) (а - 0,4)(b + 1,4) и 6.
Похожие решебники
Популярные решебники 9 класс Все решебники
*размещая тексты в комментариях ниже, вы автоматически соглашаетесь с пользовательским соглашением